A fantastic opportunity to show your creative side!
The project will launch on 25th June, Jo Dyer has a video assembly to help explain the project, please click the image on the left to watch the video and find out what's in store!
ENGLISH: A BEAUTIFUL THING!
Gerald looked up at the moon and it was so beautiful !

What do you find beautiful? Draw and explain some things that you think are beautiful. Describe these things using adjectives. Can you make a rhyme like the story?
MATH WARM-UP!
Warm up your math skills with a times table challenge or zip over to Mathletics to try some skills there!
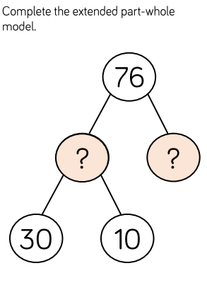
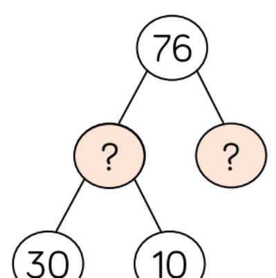
This week in math: we're looking at Mass, volume and temperature! Check out the 4 questions below, which you can copy and complete.
If you need more math practice, there is a set of SATs questions after, which you can print off or copy as you need.
Remember:only do one or two of these a day- it may say test but you don't have to do them as one.
Take your time and focus on the questions carefully-practice makes perfect!
SCIENCE
Take a walk in the garden or in the park together with your family. How many flowers and plants can you spot? Look for daisies, buttercups, forget-me-nots, poppies, dandelions and roses. How many can you find of each? Put your results in a table like this:

Make a drawing of one other plant or flower you find and find out its name.
The flowers and plants you're looking for are pictured below!
ENGLISH: GIRAFFES CAN'T DANCE: RHYMING WORDS

Gerald was a tall giraffe,
Whose neck was long and slim,
But his knees were awfully crooked,
And his legs were rather thin.
Which words in this part of the story rhyme? Can you find more rhyming words from the story? Make a poster using bubble writing! Illustrate the rhymes! How could you show them as pictures?
GEOGRAPHY
Choose 2 different zoo animals that you want to research.
Compare: where they live and how they survive.
For example: A camel and a Tree Frog.


Use the questions below to research each animal. Make a poster to show how they are different and how they might be similar.
Where does each animal live? Which countries in the world can we find these places? How are these animals able to survive in these places? What would happen if they were suddenly swapped from one place to the other? Why would this happen do you think?
Things you could describe about the giraffe: tongue, eyes and eye-lashes, knees, tail, horns, neck and legs.
Similes: these are very descriptive sentences where we say one thing is similar to another using as or like in the sentence.
For example:
A tail as soft as a duck's feather.
In this description, you are describing how soft the tail is by explaining it is like a feather. Feather's are soft so it is a good description.
An eye as brown like the earth after rain.
This description is more poetic. Do you think it is a good description?
Use some of your own similes to describe parts of the giraffe. Try some funny ones!
A song to teach all about the importance and meaning of a Mezuzah Composed and Performed by Stephen Melzack. Look at all the wonderful designs of the Mezuzah. Design and make your own!
RE JUDAISM :THE MEZUZAH
Click the Mezuzah to find a video about what it is and why it is important to Jewish people.
ENGLISH: WHAT ARE YOU GOOD AT?

Lots of the animals in Giraffes can't dance are good at different styles of dancing.
Tell us something you are really good at! It could be dancing, it could be sport or art! Write about it and illustrate with a picture. Use If and because in your sentences!
SCIENCE
Investigation!
Look around the garden and your house. Find a selection of non-living things. Take photos or make drawings of them. Identify them with a name and write a sentence to explain why they are non-living things.
What is similar about them? What is different?
ENGLISH : Description

Imagine that you are one of the animals either in Chester Zoo or Anthony Browne's book ZOO. Describe yourself – how do you feel? What do you do all day? Are you with your family? Use adjectives and If to structure your ideas and sentences.
PE Design your own Obstacle Course!

Travelling: Run, walk, climb, crawl, roll, skip, jump, dive!
Design, draw and build an obstacle course to show each of the travelling movements above.
Think about what equipment you can use. Draw your ideas and label what you want people to do when using it safely. Build a version using things you find around the house.Try it out! Can you do it? Can your parents?ENGLISH: MAKE A MAP FOR A ZOO
Look at the two maps below carefully.
What is different and what is the same?
Which one gives more information?
How is the information in each map organised? Pictures? Numbers? Words? A key? Which map is better do you think and why?


Your turn! Design and draw a map for the zoo in Anthony Browne’s book or one for Chester or make up your own zoo!
Listen to the book again and make a note of which animals there are and what types of enclosures. Draw your version of the zoo. Add a key to make the map really true to life!
ENGLISH: Are zoos good or bad?

In zoo, mum says: " I don't think the zoo is really for animals"
Do you agree? How are zoos good for animals and how are they not so good? Think about the story and Chester Zoo. Use If and because in your sentences to show what you think and the reasons you have.
CAN YOU UNRAVEL THE ART MYSTERY?
Who is Eric Carle? What kind of art does he use in his work?
Click the image of the author to find out more about this fascinating artist!
START COLLECTING!
ENGLISH: What's on the menu?

At the zoo in Anthony Browne's book, the family stops at a café to have lunch.
Now it's your turn to create a menu for the café! Decide what meals and drinks you want to have and use the menu above to help you. Can you think of imaginative names for the different meals using the animals at the zoo? Include a picture of the items on the menu and the price. What good deals are there for customers? Make sure these are noticeable on your menu! Are there any free gifts to encourage children to choose meals? What are they? You decide!
Can you sort the pictures on the right into the correct category on the left?

Copy the table on the left then draw and label the pictures on the right under the correct titles.
Add 2 more things to each category of your own.
Write a paragraph comparing one living and one non-living thing from the table. What differences can you find to write about?ENGLISH: ZOO BY Anthony Browne
JOKES!

Dad tells jokes in the story Zoo – can you write some of your own jokes or jokes you know about an animal? Illustrate your joke!
RE JUDAISM Introduction to Shabbat
Click the image below to find out about Shabbat. How does the family get ready for this important Jewish time? Name two activities Jews cannot do during Shabbat and two they can. Draw pictures. What do you often do on Saturdays and how different is it from the Jewish children? Which activities that you do would Jewish children be able to do?
ENGLISH: ZOO by Anthony Browne
Listen to first pages where the family go on the outing.
What problems were there?
Write about a time your family went on a trip. Describe what you saw. How did you feel? Excited? Bored? Use because, so and if to write your sentences.
ENGLISH: ZOO BY Anthony Browne
Look at the front cover of Zoo. What can you see?
Design a different front cover using an animal you prefer and your family!
Explain you’re the reasons for your design. Why do you think the picture here is of the family?
Click the zoo cover image to watch a presentation of someone reading the story.
GEOGRAPHY Where in the world?
Look at this world map carefully. Can you find the deserts and rain forests?
Which countries do you think these animals are in? Which sea might the underwater picture show? Which countries have these types of habitats? Can you name the type of environment or habitat that these photos show?


Choose a zoo animal and find out:
Which countries does it live in?
You could make a drawing of your animal and a map of the country. Add some ideas to your poster:
What helps it to live in that country? Is it the weather?
Is it the physical environment?
Create a poster to show your findings! There is a great site to help below and a video all about different habitats to watch!
Learn about how a habitat provides the basic needs for all living things and how plants and animals depend on each other.
PE: Counting in 2's, 5's and 10's!
Star jumps, keeping the ball up and chair squats!
Do each exercise 3 times-take it slow, be safe. As you jump, squat or kick, count!
Round 1-as you do the exercise, count in 2's up to 20. Then stop. How many star jumps did you actually do? Get someone to count for you as you count in 2's! OK, get ready, breathe, you've got this...GO!
Round 2- this time count in 5's up to 50.
Did you do more exercise or the same?
Round 3-this time each exercise count 10 to 100.
Was there any difference?
Can you explain what has happened?
Star Jumps Keep the ball up



What other exercises can you do the counts with? Try them out!
Now test your parents! Good luck Mums and Dads!
Look at the pictures above. What do you think is happening in each?
Write a sentence. Look at the objects. Research their names, draw them and put the names you found with the objects correctly.
What do you think the star and the candle stick are used for?
Click the image below to watch a video about a Jewish home. Watch and listen carefully. What things are different in a Jewish home to your home? Make a poster to show the important differences.
ENGLISH
Postcard Chester Zoo!
After your visit to Chester zoo yesterday, make a list of the animals you saw and write a postcard to one of the animals or their keeper! Things to include in your postcard: questions for the animal/keeper you want to ask: food,their routines, if they miss being in their country. Things you liked about where they live at the zoo, things you enjoyed seeing them do. Don't forget to thank them for a wonderful time and explain what you loved the most about the tour! Did you have a favourite animal you could describe?
If you need to remind yourself, just click the blue frog to go to the website, click accept all and scroll down the page for the videos and hours of the live web cam!
DESIGN 7 TECHNOLOGY: THE LION KING!
Look at these fantastic masks from the Lion King musical. How do you think they were made? What materials do you think were used and why? How did they get the masks to stay on the actors and actresses heads?

Now it's your turn to design and make a mask for the Lion King musical! What animal will you choose to make the mask for? Think about the animal shapes from earlier. Are some animals easier to design than others? Watch the video below which uses paper plates to get ideas or to help you make your own. Be creative! You can use your own methods to design and make the mask! Take a photo of you in your mask and e-mail to your teacher!
A step by step approach but you can use your own ideas!